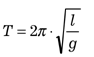
nihalo, fizikalni sistem, ki je zaradi vpliva sile, ki ga potiska proti ravnovesni legi, in lastne vztrajnosti po izmiku iz ravnovesne lege zmožen nihanja. Nihalo lahko mdr. vzdržujejo sila vzmeti, gravitacijska sila, krajevno odvisna električna ali magnetna sila, sile med osnovnimi delci. Matematično nihalo je idealizacija: na idealno lahko vrvico dolžine l je pripeto točkasto telo mase m; njegov nihajni čas T je
Slika formule

in je odvisen le od dolžine vrvice in težnega pospeška g (zemeljski pospešek), ne pa od mase uteži. Pri vrvici dolžine pribl. 25 cm je nihajni čas 1 sekunda; potencialna energija kroglice se spreminja v kinetično in nazaj. Minimum potencialne energije ima kroglica v najnižji točki, kjer je njena hitrost oz. kinetična energija največja. V skrajnih točkah je njena kinetična energija nič, potencialna pa doseže največjo vrednost. Kota odklona φ1 in φ2 sta enaka v obeh smereh, nihajni čas je neodvisen od mase kroglice G. Fizikalno nihalo ali fizično nihalo je vsako trdno telo, ki je vrtljivo obešeno nad svojim težiščem. Nihajni čas je odvisen od vztrajnostnega momenta telesa in reducirane dolžine nihala. Pri torzijskem nihalu niha telo, ki je vpeto na polžasto vzmet. V urah z nihalom uporabljajo kompenzacijska nihala. Palice z utežmi so narejene iz kovin z različnimi temperaturnimi raztezki; izbrane so tako, da je njihova dolžina pri spreminjanju temperature konstantna. Pri minimalnem nihalu je točka vpetja izbrana tako, da manjše spremembe dolžine palice skoraj nimajo vpliva na nihajni čas. Pri majhnih odmikih nihala iz ravnovesne lege nihala nihajo sinusno (harmonično), njihov nihajni čas je neodvisen od odmika. Takšna nihala so primerna merila za čas, v rabi pri stenskih urah. Pri večjih odmikih je nihanje anharmonično. Zaradi dušenja nihalo sčasoma zamre, pri prevelikem dušenju pa ne opravi niti enega nihaja. Nihalo, na katero ne deluje nobena dodatna zunanja sila, vedno niha v isti nihajni ravnini. Na osnovi tega dejstva je J. B. L. Foucault s t. i. Foucaultovim nihalom dokazal vrtenje Zemlje.
V okultizmu z nitnim nihalom, ki ga držijo med prsti, napovedujejo prihodnost, v radiesteziji pa ga uporabljajo kot bajalico.

Sorodna gesla: bajalica | dušenje | Foucault, Jean Bernard Léon | horizontalno nihalo | izokronizem | mehanska ura | minimalno nihalo | nihajni merilnik pospeška | nihajno središče | nihanje | nitno nihalo | odklon | perioda | potencialna energija | povratna sila | resonanca | reverzijsko nihalo | sekundno nihalo | sklopljeno nihanje | torzijsko nihalo | urni mehanizem | vztrajnostni moment | zemeljski pospešek


Vir: Veliki splošni leksikon - DZS d.d.

Komentiraj slovarski sestavek