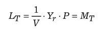
kvantitativna teorija denarja, narodnogospodarska teorija, ki zagovarja vzročno zvezo med spremembami količine denarja v obtoku in splošno ravnijo cen. Najstarejša verzija izhaja iz merkantilizma (J. Bodin): spremembe v količini denarja v obtoku in ravni cen so proporcionalne. Ta t. i. naivna kvantitativna teorija denarja je bila pozneje modificirana z uvedbo obtočne hitrosti denarja (V); med njo in količino denarja v obtoku (MT) na eni strani ter realnim družbenim proizvodom (Yr) in ravnijo cen (P) na drugi je enačaj: MT · V = Yr · P (prometna enačba denarja po I. Fisherju). Po tej teoriji se pri polni zaposlenosti in nespremenjeni obtočni hitrosti denarja poveča količina denarja v obtoku, ki presega rast družbenega proizvoda, s tem pa se povišajo ravni cen. V nadaljnjem razvoju kvantitativne teorije denarja je bila prometna enačba denarja vsebinsko razširjena: kot t. i. cambriška enačba je zdaj tudi merilo denarnega ravnovesja; kriterij je izpolnjen, če je zaželeno likvidno povpraševanje po denarju (LT) pokrito s količino denarja v obtoku (MT), ki jo ponuja bančni sistem:
Slika formule

Čeprav to razmerje ničesar ne pove o determinantah bruto domačega proizvoda (BDP) in ravni cen, pa so iz njega zagovorniki neokvantitativne teorije denarja (M. Friedman, monetarizem) izpeljali strategijo, po kateri je mogoče prek količine denarja v obtoku usmerjati gibanje BDP in ravni cen; za utemeljitev se sklicujejo na teorijo portfelja.

Sorodna gesla: Bodin, Jean | Fisher, Irving | Friedman, Milton | količina denarja | likvidnostna teorija denarja | merkantilizem | monetarizem | nominalizem | obtočna hitrost denarja | portfelj | prometna enačba


Vir: Veliki splošni leksikon - DZS d.d.

Komentiraj slovarski sestavek